+7 (495) 108-38-86‬ +7-915-139-25-05
Пн-Пт с 9.00 до 18.00
info@pesf.ru

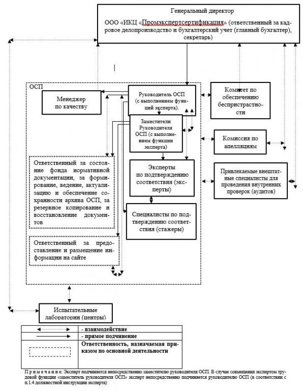
Организационная структура органа по сертификации продукции Общества с ограниченной ответственностью «Инженерно-консалтинговый центр «Промэкспертсертификация» (ОСП ООО «ИКЦ «Промэкспертсертификация»)

Copyright 2026 - Промэксперт Сертификация.

Используя данный сайт, вы даёте согласие на обработку ваших персональных данных и файлов cookie и соглашаетесь с политикой их обработки.

47